

Spirax Sarco PF51G Bronze Pneumatic Piston On/Off Angle Valve features bronze body construction with PTFE soft seal plug for tight shut-off. Suitable for water, air, oil, gas and low pressure steam systems. Available in NC (Normally Closed), NO (Normally Open), and BD (Bi-directional Normally Closed) configurations. Multiple sizes and actuator options, 360° rotatable installation, optional limit switch and flow regulator to meet various application requirements.

Spirax Sarco PF51G is a 2-way pneumatic piston on/off angle valve with bronze body construction and PTFE soft seal plug (G type) for tight shut-off. The valve is operated by pneumatic signal driving the actuator piston, with spring return function. Standard models and those with flow regulator are equipped with position indicator.
This product is suitable for water, air, oil, gas media, and can also be used in low pressure steam systems.
Three Operating Modes
Optional Accessories
| Parameter | Value |
|---|---|
| Body Design Rating (½"-1½") | PN25 |
| Body Design Rating (2") | PN16 |
| Maximum Allowable Pressure (PMA) | 25 bar g |
| Maximum Allowable Temperature (TMA) | 180 ℃ |
| Minimum Allowable Temperature | -10 ℃ |
| Maximum Operating Pressure at Saturated Steam (PMO) | 9 bar @ 180 ℃ |
| Maximum Operating Temperature (TMO) | 180 ℃ |
| Ambient Temperature Range | -10 ℃ ~ 60 ℃ |
| Leakage Rate (PTFE Soft Seal) | ASME class VI |
| Flow Characteristic | Quick Opening (On/Off) |
| Pilot Media | Air or water, max 60 ℃ |
| Actuator Rotation | 360° |
| Valve Type | Flow Direction | Port |
|---|---|---|
| PF51G-NC | Over seat | 1-2 |
| PF51G-NO | Under seat | 2-1 |
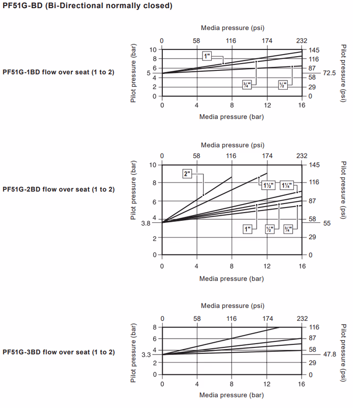
| PF51G-BD | Over seat | 1-2 |
| PF51G-BD | Under seat | 2-1 |
| Actuator Type | Diameter | Pilot Connection | Max Pilot Pressure |
|---|---|---|---|
| Type 1 | 45mm | ⅛" BSP | 10 bar g |
| Type 2 | 63mm | ¼" BSP | 10 bar g |
| Type 3 | 90mm | ¼" BSP | 8 bar g |

| Size | ½" | ¾" | 1" | 1¼" | 1½" | 2" |
|---|---|---|---|---|---|---|
| Kvs | 4.5 | 8 | 15.6 | 24.6 | 42 | 57 |
Conversion Formulas




| Valve Size | Actuator Type | A1 (mm) | B1 (mm) | C (mm) | D (mm) | Weight (kg) |
|---|---|---|---|---|---|---|
| ½" | Type 1 (45mm) | 65 | 144 | 136 | 123 | 0.8 |
| ½" | Type 2 (63mm) | 65 | 192 | 184 | 171 | 1.2 |
| ¾" | Type 1 (45mm) | 75 | 149 | 142 | 126 | 0.9 |
| ¾" | Type 2 (63mm) | 75 | 198 | 192 | 176 | 1.3 |
| 1" | Type 1 (45mm) | 90 | 168 | 161 | 141 | 1.1 |
| 1" | Type 2 (63mm) | 90 | 212 | 205 | 185 | 1.5 |
| 1" | Type 3 (90mm) | 90 | 223 | 216 | 196 | 2.2 |
| 1¼" | Type 2 (63mm) | 110 | 225 | 217 | 193 | 1.9 |
| 1¼" | Type 3 (90mm) | 110 | 234 | 227 | 202 | 2.4 |
| 1½" | Type 2 (63mm) | 120 | 230 | 225 | 198 | 2.4 |
| 1½" | Type 3 (90mm) | 120 | 239 | 235 | 207 | 2.6 |
| 2" | Type 2 (63mm) | 150 | 248 | 241 | 207 | 2.9 |
| 2" | Type 3 (90mm) | 150 | 257 | 250 | 216 | 3.3 |
Additional Weight
Valves with limit switch and flow regulator add 0.2kg (except Type 1 actuator); limit switch dimension is 77mm, flow regulator dimension is 83mm.

| No. | Component | Material | Specification |
|---|---|---|---|
| 1 | Body | Bronze | EN 1982 CC491K |
| 2 | Bonnet | Bronze (½" and 1") | EN 1982 CC491K |
| 2 | Bonnet | Brass (¾", 1¼", 1½" and 2") | EN 12165 CW617N |
| 3 | Plug | Stainless Steel | AISI 316L |
| 4 | Plug Seal | PTFE | - |
| 5 | Stem | Stainless Steel | AISI 316 |
| 6 | Stem Seal | V-ring PTFE | - |
| *7 | Stem 'O' Ring | Fluorocarbon Rubber | - |
| 8 | Actuator Housing | Glass Filled Polyamide | - |
| 9 | Piston | Glass Filled Polyamide | - |
| 10 | Piston Lip Seal | Fluorocarbon Rubber | - |
| 11 | Gasket | PTFE | - |
Note
*Part 7 not shown in diagram

| Actuator Type | Diameter | Compatible Valve Sizes |
|---|---|---|
| Type 1 | 45mm | ½" - 1" |
| Type 2 | 63mm | ½" - 2" |
| Type 3 | 90mm | 1" - 2" |
For a 1" screwed BSP connection, Type 2 actuator, Normally Closed (NC) PF51G valve, the designation is: 1" PF51G-2NC (Screwed BSP)
Installation Requirements
Spirax Sarco PF51G-2NC Bronze Pneumatic Piston On/Off Angle Valve, 1" size, BSP screwed connection.
Spare Parts Ordering
Seal kits are available for all valve sizes and actuators, including: piston lip seal, actuator O-ring, plug soft seal (PTFE), body seal. When ordering spares, specify valve size, model and date code (located on actuator label).
Explore similar products in our catalog